위험 지역 분류에 대한 접근 방식은 가연성 물질 누출 시 나타날 수 있는 특성 및 특성에 대한 올바른 이해로 뒷받침되어야 합니다. 희석용 이론적 최소 환기, 희석에 필요한 시간나는 그것에 대해 뭔가를 공유하고 싶습니다.

위험 지역 분류 공식
다음은 주변 조건에서 공기 중 가연성 가스 또는 증기의 분포 및 희석에 영향을 줄 수 있는 일부 매개변수를 계산하는 데 유용한 공식입니다.
LFL 미만의 희석을 위한 이론적 최소 폭기
● 누출된 가연성 물질의 공기 희석.
가연성 하한선 아래로 가연성 물질의 농도를 희석하기 위한 신선한 공기 흐름의 이론적 최소 용량(큐분)는 다음 공식을 사용하여 계산할 수 있습니다.

여기에서
큐분 : 여론 희석에 필요한 최소한의 신선한 공기 환기(㎥/s)
여G : 가연성 물질의 누출율(kg/s)
씨: LFL중 고려하는 안전계수(≤1.0)
LFL중 : 질량 기준 인화하한계(kg/㎥)
티ㅏ. : 기온(K)
주변 온도 40°C에서 폐쇄된 액체 풀에서 증발하는 벤젠 누출률 여G 희석에 필요한 이론적 최소 신선한 공기 공급량 = 0.003 kg/s를 계산합니다.

비고 1. 안전계수 k는 배출율 계산의 불확실성(포화증기압, 풍속 등)을 고려하여 결정된다.
2. 폭발 하한은 IEC 60079-20-1에 나와 있습니다.
희석에 필요한 시간
● 누출된 가연성 물질의 희석에 필요한 시간 계산
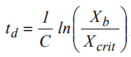
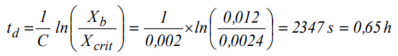
가연성 물질의 농도는 특정 정상 상태 배경 농도라고 합니다. 엑스비 에 필요한 임계 농도 엑스비판적인희석하는 이론적 시간(비체적) 티디 추정할 수 있다

여기에서,
티디 : 가연성 물질 농도의 정의된 값을 첫 번째 값보다 작은 값으로 희석하는 데 필요한 이론적 시간(들)
C: 일정 체적에서 단위 시간당 공기 순환(환기) 횟수(s^-하나)
엑스비 : 정상상태에서 가연성 물질의 배경 농도(Vol/Vol)
엑스비판: 원하는 가연성 물질 농도 임계값(Vol/Vol)
원래 값 엑스비 = 설정값에서 0.012 엑스비판적인 =0.0024, C=6 ㅎ^-하나(0.002 ㅅ^-하나) 단위 시간당 많은 수의 환기를 얻기 위해 강제 환기되는 좁은 공간에서 가연성 물질의 농도를 줄이는 이론적인 시간을 찾으십시오.

참고: 위에서 계산한 이론적 시간 티디 안전 계수는 방출된 가연성 물질의 이상적인 희석을 기반으로 하므로 항상 고려해야 합니다.
참조: KS C IEC 60079-10-1:2015 Annex J